• 2023. 7. 9.

    by. 작은공방

    공모주 청약일정 및 종목분석

    '23년 6월 26일부터 공모가의 +400%까지 상승할 수 있으며, -60%까지 하락할 수 있게 제도가 바뀌면서, 시장에서의 신규상장주가 많은 관심을 받고 있습니다.

    오늘은 '23년 7월 공모주 중에서 와이랩에 대해서 청약 일정 및 종목 분석을 해보도록 하겠습니다.

    ㅇ청약일정

        - 공모일정 : '23년 7월 10일 ~ '23년 7월 11일

        - 환불일 : '23년 7월 13일

        - 상장일 : '23년 7월 20일

    ㅇ청약 세부내용

        - 확정공모가 : 9,000원

        - 확정공모금액 : 270억원

        - 공모주식수 : 3,000,000주

        - 일반 청약 주식수 : 750,000주

        - 청약증거금율 : 50%

    - 주주구성

    주주구성
    주주구성

        - 시가총액 : 1,425억

        - 유통가능금액 : 535억

        - 주관회사 : 한국투자증권

        - 참고사항 : 한국투자증권의 일반청약자 청약한도는 청약자격별로 상이합니다.

           .최고우대그룹의 청약한도 : 72,000주 ~ 90,000주 (300%)

           .우대그룹의 청약한도 : 48,000주 ~ 60,000주 (200%)

           .준우대그룹의 청약한도 : 24,000주 ~ 30,000주 (100%)

           .온라인전용 청약자격의 청약한도 : 12,000주 ~ 15,000주 (50%)

     

    ㅇ종목분석

        - 업종 : 영화, 비디오물, 방송프로그램 제작 및 배급

        - 최대주주 : 윤인완

      ● 주요주주

    5%이상 주주 현황(공모 전 지분율)

     

    CJ E&M, 펄어비스 등의 상장 회사가 지분을 가지고 있습니다.

    CJ E&M 주가
    펄어비스 주가

    LB유망벤처산업펀드는 LB인베스트먼트가 2018년 운용기간 8년(투자기간 4년)으로 콘텐츠, 보건의료, 소프트웨어, 관광, 교육, 물류 등 유망서비스업종에 40%이상 투자하는 사모펀드입니다.

    약정금액은 1,456억입니다.

    산업은행, 국민연금공단, 교직원공제회 등이 유한책임출자자(LP)로 참여했으며, 운용사는 LB인베스트먼트입니다.

    LB인베스트먼트는 10%를 출자하였습니다.

    LB인베스트먼트 주가

    네이버웹툰은 네이버의 손자회사입니다.

    네이버 주가

     

     ● 사업 세부사항

    전자공시에 고시한 주요제품 및 서비스 매출 현황부터 알아보겠습니다.

    웹툰제작, 영상제작, 웹툰 현지화의 비중이 큽니다.

    매출현황
    매출 현황

      □ 웹툰제작

    웹툰 제작 공정

    국내 연재 이력은 아래 표와 같다.

    # 웹툰/웹소설 제목 연재처 연재시작 연재종료
    1 웨스트우드 비브라토 네이버웹툰 2011.02.18 2012.12.03
    2 패션왕 네이버웹툰 2011.05.05 2013.06.05
    3 고삼이 집나갔다 네이버웹툰 2011.11.06 2013.01.26
    4 ENT. 네이버웹툰 2012.06.12 2013.12.31
    5 나의 밤은 당신의
    낮보다 아름답다
    카카오웹툰 2012.07.12 2018.12.25
    6 경운기를 탄 왕자님 네이버웹툰 2012.12.27 2013.04.25
    7 바람의 색 네이버웹툰 2013.03.05 2013.09.24
    8 내일은 웹툰 네이버웹툰 2013.03.06 2013.12.28
    9 악플게임 네이버웹툰 2013.04.13 2014.02.15
    10 찌질의 역사 네이버웹툰 2013.11.07 2017.03.08
    11 실질 객관 영화 네이버웹툰 2013.11.11 2014.05.05
    12 심연의 하늘 네이버웹툰 2014.01.31 2018.06.24
    13 프린스의 왕자 네이버웹툰 2014.05.04 2015.07.26
    14 신의나라 소학관 2014.10.01 2015.01.31
    15 조선왕조실톡 네이버웹툰 2014.12.09 2018.11.17
    16 버닝헬 네이버웹툰 2015.05.09 2015.07.04
    17 카페 드 쇼콜라 네이버웹툰 2015.11.01 2016.05.01
    18 테러맨 네이버웹툰 2016.01.14 2020.05.21
    19 부활남 네이버웹툰 2016.05.06 2019.12.27
    20 아일랜드 1 네이버웹툰 2016.05.10 2016.10.20
    21 아일랜드 2 네이버웹툰 2016.11.09 2018.02.14
    22 세계사톡 저스툰 2017.08.19 2019.07.13
    23 신암행어사 네이버웹툰 2017.11.18 2019.09.10
    24 신석기녀 네이버웹툰 2017.12.26 2019.12.24
    25 세상은 돈과 권력 네이버웹툰 2018.05.01 2023.05.16
    26 삼국지톡 네이버웹툰 2018.05.10 연재중
    27 일진에게 회초리 네이버웹툰 2018.05.13 2018.11.04
    28 캉타우 네이버웹툰 2018.08.15 2019.04.10
    29 일진이 사나워 네이버웹툰 2018.12.30 2020.12.06
    30 스터디그룹 네이버웹툰 2019.01.04 연재중
    31 하우스키퍼 네이버웹툰 2019.01.21 연재중
    32 호러전파상 네이버웹툰 2019.06.08 2020.07.11
    33 한림체육관 네이버웹툰 2020.05.25 연재중
    34 선의의 경쟁 네이버웹툰 2020.07.01 2021.12.15
    35 연주동 일가족 살인사건 네이버 시리즈 2020.07.14 2021.06.16
    36 호감도 200% 리디 2020.08.06 2021.08.30
    37 성경의 역사 네이버웹툰 2020.09.03 2021.08.19
    38 참교육 네이버웹툰 2020.11.01 연재중(휴재)
    39 호적메이트 봄툰 2020.11.04 2022.02.27
    40 평화선도부 네이버웹툰 2020.11.24 2021.04.20
    41 늑대의 보디가드
    (웹소설)
    네이버 시리즈 2020.12.18 2020.12.18
    42 테러대부활 네이버웹툰 2020.12.26 2022.09.18
    43 정글쥬스 네이버웹툰 2020.12.30 연재중(휴재)
    44 토이즈박스 봄툰 2021.03.31 2022.02.22
    45 야만의 시대 네이버웹툰 2021.04.28 2022.04.6
    46 죽지 않으려면 네이버웹툰 2021.05.20 연재중
    47 나 혼자 네크로맨서 네이버웹툰 2021.09.15 연재중
    48 변방의 외노자 네이버웹툰 2021.09.28 연재중(휴재)
    49 현실퀘스트 네이버웹툰 2021.10.27 연재중
    50 헤어지면 죽음 네이버웹툰 2021.11.09 연재중
    51 마녀의 심판은 꽃이 된다 네이버웹툰 2021.11.10 2023.05.10
    52 이게 아닌데 네이버웹툰 2021.11.11 2023.04.20
    53 전생연분 네이버웹툰 2021.11.12 연재중
    54 &아이 네이버웹툰 2021.11.13 연재중
    55 100 네이버웹툰 2021.11.15 2022.09.26
    56 침묵의 밤 네이버웹툰 2021.11.17 2022.09.28
    57 리트리츠 네이버웹툰 2021.11.18 2022.10.10
    58 더 퀸즈 네이버웹툰 2021.12.28 2022.09.13
    59 내 아이의 아빠가 되어라
    (웹소설)
    네이버 시리즈 2022.4.27 2022.08.29
    60 절대검감 네이버웹툰 2022.06.20 연재중
    61 왕게임 네이버웹툰 2022.08.01 연재중
    62 쿠쿠쿠쿠 네이버웹툰 2022.08.01 2023.01.02
    63 여자를 사귀고 싶다 네이버웹툰 2022.09.15 연재중
    64 노량진공격대 네이버웹툰 2022.09.24 2023.05.27
    65 시크릿 플레이어 네이버웹툰 2022.09.26 연재중
    66 평화식당 네이버웹툰 2023.04.07 연재중
    67 잔반없는 날 네이버웹툰 2023.05.29 연재중
    68 무직백수 계백순 네이버웹툰 2023.06.06 연재중

      □ 영상제작

    웹툰 IP Holder(저작권자)이자 방송영상물(드라마) 제작사로 사업활동을 하고 있습니다.

    아일랜드
    아일랜드 (출처 : 전자공시)

      □ 웹툰교육

    와이랩 아카데미 (출처 : 와이랩 홈페이지)

    국내 최초로 설립된 웹툰 교육 전문 학원입니다.

      □ 웹툰 OSMU

    제작 웹툰 저작물을 제3자에게 이용허락하거나 또는 자체적으로 사업 전개를 하여 OSMU 사업화하고 있습니다.

    OSMU는 One Source Multi Use의 약자로 하나의 원천 콘텐츠를 활용해 영화, 드라마, 게임, 애니메이션, 캐릭터 상품 등 다양한 형태의 새로운 콘텐츠나 상품을 만듦으로써 부가가치를 극대화 하는 것을 말합니다.

    OSMU 사례

     ● 재무제표

      □ 요약연결재무정보

    요약연결재무정보

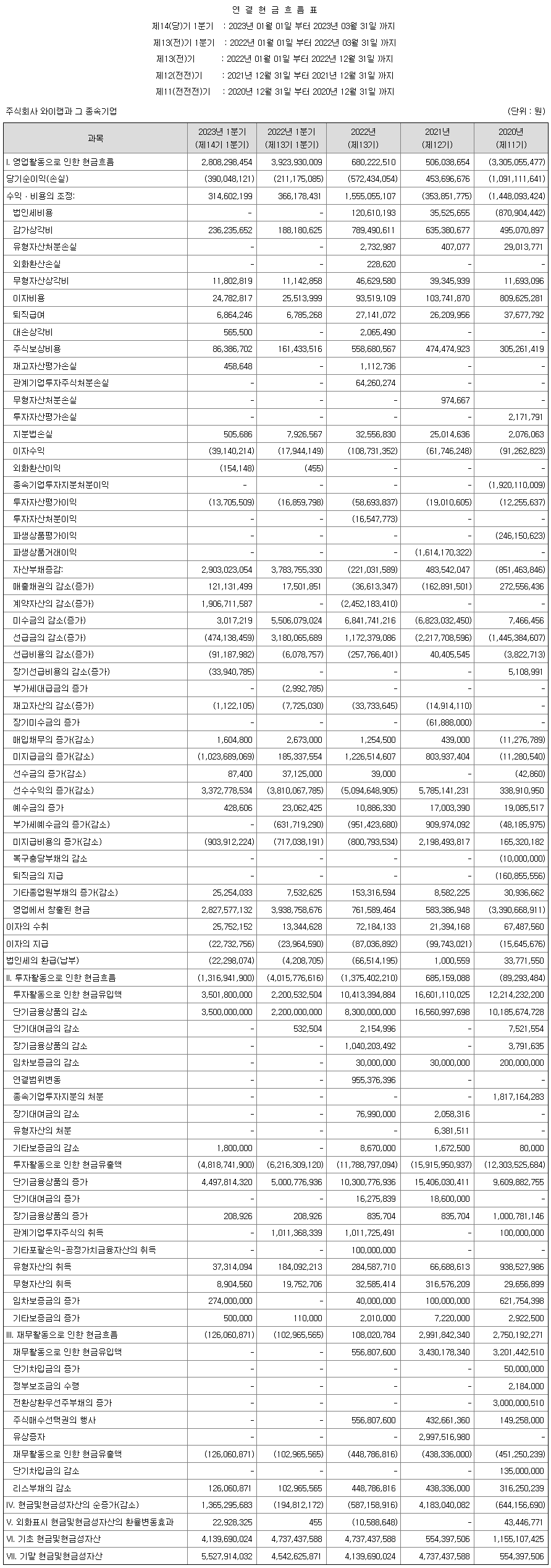
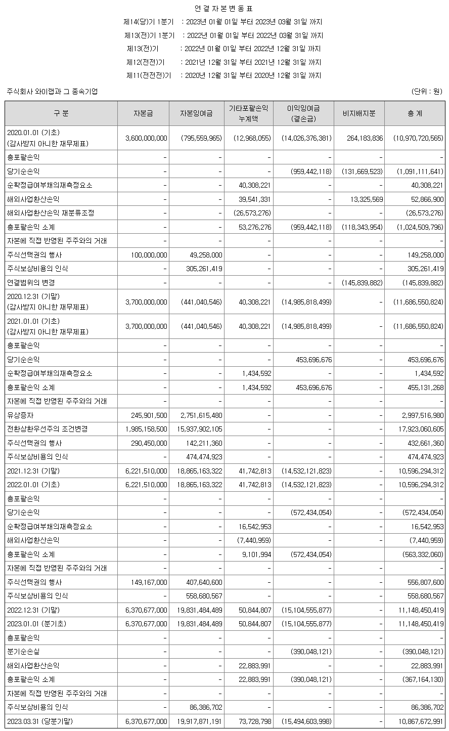
      □ 연결재무제표

    연결재무상태표, 연결손익계산서, 연결자본변동표, 연결현금흐름표는 아래와 같습니다.

    전기('22년)기준으로

    - 매출 298억

    - 영업손실 -4억

    - 당기순이익 : -6억

    - 부채비율 : 74%

    연결재무상태표

     ● 사옥

    로드맵으로 봤을 때의 건물사진입니다.

    본사 위치는 서울 마포구에 위치하고 있습니다.

    건물은 리스를 하고 있는 것 같습니다.

    본사 사옥

     ● 대표이사

    대표이사는 전문경영인인 심준경 대표입니다.

    스틱인베스트먼트('08년 ~ '11년), 이스트브릿지파트너스('11년 ~ '12년), 프리미어파트너스('12년 ~ '16년)에서 근무하였습니다.

    와이랩에서는 '16년부터 지금까지 근무 중입니다.

     

    창업주는 만화가였다가 스토리작가로 유명해진 윤인완입니다.

    아일랜드, 신암행어사를 제작했으며, 심연의 하늘을 연재 등의 경력이 있습니다.

    와이랩을 떠나서 라인망가의 COO를 맡고 있다가 '22.8월 한국으로 귀국하면서 와이랩 글로벌 총괄 프로듀서를 담당하고 있습니다.

     

    신규상장 움직임이 커서 시장에서 크게 주목을 받고 있는 요즘입니다.

    유통주식물량이 500억대로 물량이 적으나, 400%까지 갭이 뜰 수 있는 만큼 주의하셔서 매매하시길 바랍니다.

    컨텐츠 관련주로 추후에 각광 받을 수 있는 것도 참조하시길 바랍니다.

     

    다른 '23년 7월 공모주 일정을 보시려면 아래 링크를 타고 눌러주세요.

    2023.07.02 - [주식공방] - 2023년 7월 주식 공모주 청약 일정

     

    2023년 7월 주식 공모주 청약 일정

    '23.6.26일부터 공모가의 +400%까지 상승할 수 있으며, -60%까지 하락할 수 있습니다. '23.6월 시큐센, 알멕, 오픈놀까지 신규산장주들이 시장의 관심을 한 번에 받았습니다. - 시큐센 상장 첫 날 293% 상

    smallstudio.tistory.com